Ophthalmic drops emulsion 005 Generic vs. Eye itching or irritation.
Durezol Indications Adverse Reactions Pharmacology Drugs Com
The products dosage form is emulsion and is administered via ophthalmic form.
Durezol generic name. Who should not take DUREZOL. The information is not intended to cover all possible uses directions precautions drug interactions or adverse effects nor. Ask your doctor for advice when it comes to purchasing your medications.
Durezol active ingredient difluprednate ophthalmic emulsion is a steroid medicine that works by preventing the release of substances in the human body which cause inflammation. CVS Pharmacy Patient Statistics for Durezol. Feeling like something is in your eye.
NeedyMeds has free information on medication and healthcare costs savings programs including prescription assistance programs and medical and dental clinics. Durezol drops Generic Names. Durezol difluprednate ophthalmic emulsion is a corticosteroid medicine.
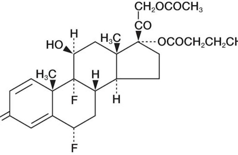
In the Donut Hole also called the Coverage Gap stage youll pay more for your prescriptions. DUREZOL difluprednate ophthalmic emulsion 005 is a sterile topical anti-inflammatory corticosteroid for ophthalmic use. The chemical name is 6α9difluoro-11β1721- trihydroxypregna-14-diene-320-dione 21-acetate 17-butyrate CAS number 23674-86-4.
Check with your physician if you have. Difluprednate ophthalmic DYE floo PRED nate off THAL mik Brand Name. Brand Name Usage Brand 100.
View Free Coupon. In 2016 the Donut Hole begins once youve spent 3310 in one year. The lowest GoodRx price for the most common version of Durezol is around 21733 14 off the average retail price of 25485.
What is difluprednate ophthalmic Durezol. Your eyes may be more sensitive to light. Fraudulent online pharmacies may try to sell you an illegal Durezol generic medication.
Last updated on Dec 7 2020. It prevents the release of substances in the body. There is currently no generic version of Durezol available in the United States.
The generic name of Durezol is durezol. Durezol with NDC 0065-9240 is a a human prescription drug product labeled by Alcon Laboratories Inc. In the Typical co-pay stage your deductible has been satisfied and Medicare pays the majority of your drug costs.
View Free Coupon. Co-Pay Range6 239. DUREZOL Rx Generic Name Formulations.
Do not purchase medications from these pharmacies as they may be harmful. Up to 6 cash back DIFLUPREDNATE DYE floo PRED nate is used in the eye to treat pain and swelling caused by eye surgery or uveitis. Durezol drops Generic Names.
Common side effects may include. DIFLUPREDNATE is used in the eye to treat pain and swelling caused by eye surgery or uveitis. The following conditions are contraindicated with this drug.
Difluprednate is represented by the following structural formula. Medically reviewed by Philip Thornton DipPharm. Difluprednate ophthalmic is also used to treat anterior uveitis inflammation that affects the front part of the eye.
Difluprednate ophthalmic for the eyes is a steroid medicine that is used to treat eye pain and inflammation caused by surgery. It is used to treat anterior uveitis as well as eye inflammation and pain caused by eye surgery.
Durezol Indications Adverse Reactions Pharmacology Drugs Com
Durezol Dosage Rx Info Uses Side Effects
What Is Prednisolone Acetate Goodrx
Durezol Bottle Size 5 Ml Generic Meds Exim Private Limited Id 10685389697
Durezol Ophthalmic Eye Uses Side Effects Interactions Pictures Warnings Dosing Webmd
Durezol 0 05 Eye Drops 5ml Bottle
Difluprednate Ophthalmic Prescriptiongiant
Durezol Pharmacological Profile Healthgrades Emulsion
Fda Warns Doctors Pharmacists Not To Mix Up Similarly Named Eye Drops Wart Remover Consumerist


No comments:
Post a Comment
Note: Only a member of this blog may post a comment.